产品认证:
生产厂家: 0
联系方式:
泵入口处(压力最低点)单位质量液体所具有的能量(静压能和动能)与输 送液体在工作温度下的饱和蒸汽压头之差称为泵的净正吸入压头NPSH(Net Positive Suction Head),也称作泵的气蚀余量。

泵的净正吸入压头分为需要的净正吸入压头(或称为净正吸入压头必需值),标记为NPSHr (NPSH Required)或NPSHR和 有效的净正吸入压头(或称为净正吸入压头有效值),标记为NPSHa(NPSH Available)或 NPSHA。
在给定了装置的设备、管道配置之后,泵吸入系统给予泵的净正吸入压头 称为泵系统有效的净正吸入压头(NPSHa),NPSHa只与装置系统有关而与泵本身 特性无关。
为保证泵能正常运转而不发生气蚀,必须使NPSHa>NPSHr,而一般情 况下至少要大0.3m,对于有些输送条件(如输送近似沸点的液体)则应 NPSHa≥1.3NPSHr。
1,NPSHr的计算和校正
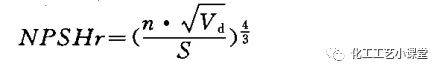
1.1 NPSHr的计算
应尽量采用泵制造厂给出的 NPSHr,当无泵制造厂提供的NPSHr时,可按下式进行估算:

式中 NPSHr— 泵需要的净正吸入压头,m;
n- 泵的转速,r/min;
Vd— 泵的设计流量,m3/min;
S一一 泵吸入比转速,(m3/min)·(m)。
1.2 NPSHr的校正
a.当泵输送的流体不同于20°C的清水时,NPSHr应按下式进行校正:

输送热水或非粘性液态烃(粘度比水小)时,可按下图查Ψ值进行修正。

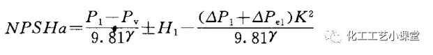
1.3 离心泵的NPSHa计算
离心泵的NPSHa可按下式进行计算:

式中

1.4 往复泵的NPSHa计算
离心泵的NPSHa可按下式进行计算:

式中

2,泵NPSHa的安全裕量表

3,泵的NPSHr计算

赛莱默在线模拟 pH/ORP 分析仪增添新成员
【公司产品】HT1-D渣浆泵双端集装式机械密封
新品推荐| Wilo-Atmos GIGA-I 系列高效管道泵
新品上市 | 永磁变频新型深井泵QJ-G系列
Watson-Marlow推出新型Qdos 60 PU 蠕动泵
固瑞克发布新一代Quantm电动隔膜泵
产品推荐 | 凯士比机械密封
好泵利荐 | 利欧大功率切割泵、污水污物潜水电泵全新升级!
流体优化设计丨南元气液混合泵系列来袭
新品推荐 | KSB凯士比SEZ 立式筒式泵
胜达因HMD Kontro发布HF 烷基化磁力泵
应对无菌灌装挑战,Watson Marlow推出新型Flexicon PF7+泵
新品上市 | 英格索兰ARO单向定量缸计量系统
耐驰携PERIPRO泵新品
米顿罗重磅发布Primeroyal家族最小新品——PH计量泵
威乐发布Wilo-Atmos GIGA-B端吸泵新品
新品发布:新型传送波计量泵
格兰富发布新一代CR(N)泵
苏尔寿推出全球最大的中浓泵
产品推荐 | 泽尼特潜水泵Grey
新品推荐 | 百士吉四柱塞隔膜泵Quattroflow QF5k
SEEPEX让大型设备的维护变得轻而易举
NSO泳池泵